Linear shafts: Precision standards for MISUMI linear shafts
Linear shafts are a subset of linear guides and provide stability and precision in linear motion systems. Varying precision requirements are placed on linear shafts to ensure that movements are performed at low-friction, accurately, and reliably. These requirements specify roundness, straightness and perpendicularity as well as the concentricity of the linear shaft. MISUMI offers linear shafts in standard and precision versions. In this article, you will learn about the different features, when to use which variant, and what precision requirements are all about.
Key Precision Parameters for Linear Shafts
Typical precision parameters of linear shafts are straightness, roundness, perpendicularity and concentricity. They affect the accuracy, stability and longevity of installed linear shafts and of the entire system in which the linear shafts are installed. Even minor deviations can lead to increased wear, vibration or positioning errors. In this context, dimensional tolerances and fit selection are important aspects for manufacturing and using linear shafts. The shape tolerance describes the allowable deviation of the geometric shaft form from the ideal nominal dimension, whereas position tolerance describes the allowable deviation from the ideal position or alignment of a shaft.
- (D) Diameter
- (K) Straightness
- (M) Roundness
- (L) Working Length
- (Y) Resulting overall length
- (F) Step, left
- (P) Threaded or step diameter, left
- (S) Thread length step, right
- (T) Step, right
- (B) Thread length step, left
- (Q) Thread or step diameter, right
Compliance with precision standards is also a key criterion for selecting procurement markets. A manufacturing facility in Portugal gives MISUMI the ability to produce precision parts within the EU. At MISUMI, we benefit from this through high on-time delivery, comparatively short delivery routes, and materials compliant with European standards.
The following section discusses some of the key parameters in detail:
Roundness of linear shafts
Roundness describes how accurately the cross section of the shaft corresponds to a mathematically perfect circle. High roundness ensures uniform bearing load and high performance. Deviations of just a few millimeters can lead to a preload, which causes the linear shaft and bearing to wear out faster. High-precision applications therefore require tight roundness tolerances.
Incidentally, runout and roundness are not the same. Runout describes how the shaft rotates about the axis of rotation, as measured at a fixed point of the shaft. This is specified by so-called runout tolerances that describe the deviation from the ideal axis.
- (1) Shaft
- (2) Ideal, round shaft diameter
- (3) Deviation from real diameter
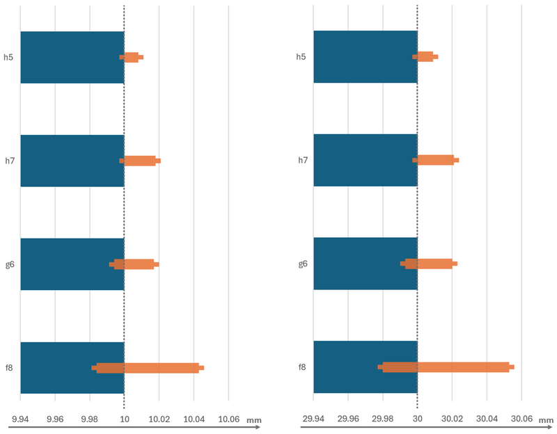
The following table shows the roundness M as a function of D and the ISO tolerance:
| ISO tolerance | ||
|---|---|---|
| Example diameter D | g6, h6 - hardened shaft | f8 - Shaft not hardened |
| Roundness M | Roundness M | |
| 10 | 0.004 | 0.011 |
| 16 | 0.005 | 0.014 |
| 30 | 0.006 | 0.017 |
| 50 | 0.007 | 0.02 |
Outside Diameter Deviations
A precise outer diameter within a tight tolerance field limits is particularly relevant if high guidance accuracy and smoothness are required. It also forms the basis if an exact alignment without play is necessary or if specific types of fit are required, such as the interference fit.
While the allowable deviation of the precision version is 0.02 mm, the standard version specifies a deviation tolerance of 0.1 mm.
Linear shaft straightness
Straightness describes the accuracy of the alignment of a shaft over its entire length. It should not deviate from an ideal line. The more precise the straightness, the more precise and even the movements of the guided components are. A 3D coordinate measuring machine and probe can be used to measure straightness.
The following table shows the MISUMI precision standards for linear shaft straightness as a function of D and L:
| g6, h6 - Shaft hardened |
f8 - Shaft not hardened |
|||
|---|---|---|---|---|
| L | D | Straightness K | L | Straightness K |
| * | 3 and 4 | ≤ (L/100) x 0.05 | ≤ 100 | ≤ 0.025 |
| * | 5 | ≤ (L/100) x 0.03 | ||
| ≤ 100 | 6 to 50 | ≤ 0.01 | > 100 | ≤ (L/100) x 0.025 |
| > 100 | ≤ (L/100) x 0.01 | |||
Concentricity of Linear Shafts
Concentricity of a shaft is understood to mean how accurately the rotary axes of, for example, a shaft outer diameter and a journal offset on the front face are aligned with each other. The higher the concentricity, the more uniform the rotational behavior. Runout and concentricity are therefore directly related. For non-rotating linear shafts, concentricity is most relevant for alignment accuracy.
Linear shaft perpendicularity
Perpendicularity ensures that the linear shaft is at an exact 90° angle to other system components. Stresses and lateral shear forces may occur in the absence of perpendicularity. These affect guidance, friction and movement.
Length deviations
The following table shows the deviation tolerances of dimension L or Y as a function of the part length.
| Dimension L/(Y) | g6, h6 - hardened shaft | f8 - Shaft not hardened | |
|---|---|---|---|
| over | or lower | Tolerance | |
| > 3 | ≤ 6 | ±0.1 | |
| > 6 | ≤ 30 | ±0.2 | |
| > 30 | ≤ 120 | ±0.3 | |
| > 120 | ≤ 400 | ±0.5 | |
| > 400 | ≤ 1000 | ±0.8 | |
| > 1000 | ≤ 1500 | ±1.2 | |
Wall Thickness deviations
Wall thickness on hollow shafts affects the overall stability and bending strength of the linear shaft. The focus is in this case placed on material and/or weight savings. At the same time, the wall thickness affects the deformation of the shaft by shifting the centroid. The shaft is deformed to varying degrees (see also Concentricity) depending on the orientation of the radial force acting on the shaft. On internal thread joints, the wall thickness also affects alignment accuracy.
The following table provides an overview of permissible hollow shaft wall thickness deviations for shafts made of EN 1.3505 and EN 1.4125 equivalent material.
| D | EN 1.3505 Equiv. Wall thickness deviation value |
EN 1.4125 Equiv. Wall thickness deviation value |
|||||||||||||||||||||||||||||||||||||||||||||||||||||||||||||||||||||||||||||||||||||||||||||||||
|---|---|---|---|---|---|---|---|---|---|---|---|---|---|---|---|---|---|---|---|---|---|---|---|---|---|---|---|---|---|---|---|---|---|---|---|---|---|---|---|---|---|---|---|---|---|---|---|---|---|---|---|---|---|---|---|---|---|---|---|---|---|---|---|---|---|---|---|---|---|---|---|---|---|---|---|---|---|---|---|---|---|---|---|---|---|---|---|---|---|---|---|---|---|---|---|---|---|---|---|
| 6 | ≤ 0.3 | - | |||||||||||||||||||||||||||||||||||||||||||||||||||||||||||||||||||||||||||||||||||||||||||||||||
| 8 | ≤ 0.4 | ≤ 1.5 | |||||||||||||||||||||||||||||||||||||||||||||||||||||||||||||||||||||||||||||||||||||||||||||||||
| 10 | ≤ 4.0 | ||||||||||||||||||||||||||||||||||||||||||||||||||||||||||||||||||||||||||||||||||||||||||||||||||
| 12 | |||||||||||||||||||||||||||||||||||||||||||||||||||||||||||||||||||||||||||||||||||||||||||||||||||
| 13 | |||||||||||||||||||||||||||||||||||||||||||||||||||||||||||||||||||||||||||||||||||||||||||||||||||
| 16 | |||||||||||||||||||||||||||||||||||||||||||||||||||||||||||||||||||||||||||||||||||||||||||||||||||
| 20 | |||||||||||||||||||||||||||||||||||||||||||||||||||||||||||||||||||||||||||||||||||||||||||||||||||
| 25 | ≤ 0.6 | ||||||||||||||||||||||||||||||||||||||||||||||||||||||||||||||||||||||||||||||||||||||||||||||||||
| 30 | ≤ 1.0 | ||||||||||||||||||||||||||||||||||||||||||||||||||||||||||||||||||||||||||||||||||||||||||||||||||
| 35 | - | ||||||||||||||||||||||||||||||||||||||||||||||||||||||||||||||||||||||||||||||||||||||||||||||||||
| 40 | ≤ 1.5 | ||||||||||||||||||||||||||||||||||||||||||||||||||||||||||||||||||||||||||||||||||||||||||||||||||
| 50 | |||||||||||||||||||||||||||||||||||||||||||||||||||||||||||||||||||||||||||||||||||||||||||||||||||
| |||||||||||||||||||||||||||||||||||||||||||||||||||||||||||||||||||||||||||||||||||||||||||||||||||
The right choice: Differences between standard and precision designs
MISUMI manufactures linear shafts in standard and precision versions. Both variants differ, e.g., in roundness and straightness, shaft tolerance classes, surface finish, material, hardness of the material and their applications.
For more information on this topic, please see our blogs about hardness tests (relevant for material selection) and surface roughness fundamentals (relevant for the precision and longevity of linear shafts).
The following are some of the materials used to manufacture shafts:
Material: Precision Material CF53 (DIN/EN)
The material CF53, or European material number 1.1213, is an unalloyed tempered steel. Its chemical composition consists of carbon, silicon, manganese, phosphorus and sulfur. CF53 is suited for induction and flame hardening and can therefore be used in applications with high mechanical loads. It is commonly used in the automotive industry, e.g. in axle components or guide columns. With an average carbon content of approximately 0.5%, CF53 can be accurately machined by turning, milling and grinding. High dimensional stability can be achieved thanks to the inductive hardening. It is therefore readily adapted for producing precision shafts.
Material: Precision Material C45 (JIS)
The material C45 (JIS) corresponds to the European material number 1.0503 with DIN/EN short name S45C. It is an unalloyed tempered or structural steel with very uniform grain structure and high carbon content. It has high strength, ductility, and wear resistance, making it a popular steel for mechanical engineering applications. C45 can only be hardened within limits. Full through-hardening is not possible, but high edge hardness can be achieved.
Material: Precision Material SUJ2 (JIS)
The material SUJ2 (JIS) corresponds to the European material number 1.3505 with DIN/EN short name 100 Cr6 and is a rolling bearing steel. It is used to manufacture rolling bearings, but is also used in mechanical engineering applications for components subject to wear.
Material: Precision Material SUS304 (JIS)
The material SUS304 (JIS) corresponds to the European material number 1.4301 with DIN/EN short name X5CrNi18-10. It is an austenitic stainless steel with 18% chrome and 8% nickel content. SUS304 is one of the most widely used stainless steel grades. Its mechanical properties and good heat resistance make it the preferred choice for applications requiring strength and corrosion resistance. While SUS 304 is known for its excellent corrosion resistance, it can corrode, for example in warm chloride environments.
Material: Precision Material SUS440C (JIS)
The material SUS440C (JIS) complies with the European material number 1.4125 with DIN/EN short name X105CrMo17. It is a high-carbon martensitic stainless steel. SUS440C achieves very high strength, hardness and excellent wear resistance after heat treatment. In addition to its mechanical properties, it is characterized by good corrosion resistance in mildly moist, acidic or alkaline industrial environments.
Various ISO tolerances
There are various ISO tolerance classes for linear shaft precision that define dimensional accuracy and manufacturing tolerances. They define the permissible deviations from the nominal dimension for the shaft diameter and influence the fit accuracy with bearings (e.g. plain bearing bushings) and guides. The shaft tolerance indicates how accurately the shaft diameter corresponds to the nominal or ideal dimension. Precision designs often have tighter tolerances, while standard designs are used in applications that allow wider tolerances.
What do ISO tolerance classes mean for shafts in detail?
There is a distinction between fine and coarse tolerances. Fine tolerance means that the shaft is manufactured to very tight dimensional tolerances and there is little room for deviation. Shafts with fine tolerance have high precision, e.g. tolerance class h5. Coarse tolerances allow greater deviations from the nominal size. Shafts of this type, e.g. with tolerance f8, have lower precision, but are usually more cost-efficient. A commonly used tolerance class is the h7 tolerance field, which defines a narrow dimensional deviation for fits.
The tolerances of the shaft always also interact with the tolerances of the bearing or the guide, e.g. the diameter tolerance of plain bearing bushings. The combination of the different tolerance fields results in different fits (e.g. clearance fit, press fit or transition fit). For example, the F8/h7 combination describes a tight fit for precision machines with accurate positioning requirements. While the upper-case letter defines the tolerance field of the bore, the lower-case letter defines the tolerance field of the shaft.
For more information on shape and position tolerances, see our article about form and position tolerances per ISO 1101 and japanese standard JIS B 0001.
Different versions by bearing type
Plain bearings and rolling bearings have different requirements for shaft precision. Plain bearings have two surfaces that move opposite to each other, which results in a gliding movement. Plain bearings have a large contact surface and can also accommodate shafts made of non-hardened material due to the associated lower surface compression. However, positioning the plain bearing on the shaft is often less accurate compared to rolling bearings. Plain bearings are easy to manufacture and cost-efficient. They are usually suited for applications on which shaft alignment accuracy is of secondary importance and that incur vibration or shock loads.
Rolling bearings should be used whenever high precision requirements are specified. Rolling bearing reduce friction resistance with rolling bodies between the inner and outer rings. Rolling bearings are particularly smooth due to the resulting rolling friction. Precision steel can be used to manufacture particularly high-precision requirements. As a result, the balls for the rolling elements have high hardness with fixed point contact and achieve high dynamic load ratings. To avoid witness marks and other damage to the shaft surface, the material of the linear shaft should always have a higher hardness than the material of the rolling elements.
Configure your components
Use the MISUMI Configurator to freely configure shafts and other components.
Select the component type and set the desired specifications and features.

